Ada dua cara yang dapat dilakukan untuk menentukan nilai dan arah vektor resultan, yaitu dengan metode grafis dan metode analitis.
MENENTUKAN VEKTOR RESULTAN DENGAN METODE GRAFIS
Dengan menggunakan metode segitiga dan poligon, kita dapat melukis vektor resultan dari dua buah vektor atau lebih. Dari gambar vektor resultan tersebut, kita dapat menentukan besar dan arah vektor resultan dengan melakukan pengukuran (bukan menghitung). Cara menentukan vektor resultan seperti ini disebut metode grafis. Sekarang, bagaimana menentukan vektor resultan dengan metode grafis ? di baca terus ya, hehe….
Langkah-langkah menentukan besar dan arah vektor resultan dengan metode grafis, adalah sebagai berikut :
- tetapkan sumbu X positif sebagai acuan menentukan arah. Ingat, sudut positif diukur dengan arah berlawanan arah jarum jam, sedangkan sudut negatif diukur dengan arah searah jarum jam.
- gambar setiap vektor yang akan dijumlahkan (lihat kembali menggambar penjumlahan vektor menggunakan jajaran genjang)
- Arah vektor digambar terhadap sumbu x positif dengan menggunakan busur derajat
- gambar vektor Resultan dengan metode segitiga (untuk 2 vektor) dan metode poligon (lebih dari 2 vektor)
- ukur panjang vektor Resultan dengan mistar, sedangkan arah vektor Resultan diukur terhadap sumbu x positif dengan busur derajat
- tentukan besar dan arah vektor Resultan :
- Besar vektor Resultan sama dengan hasil kali panjang vektor resultan (langkah 4) dengan skala panjang(langkah 2b)
- Arah vektor resultan sama dengan sudut yang dibentuk oleh vektor resultan terhadap sumbu x positif yang telah diukur dengan busur derajat
Contoh soal :
Tentukan besar dan arah vektor resultan dari vektor perpindahan A sepanjang 20 m dengan arah -30o terhadap sumbu x positif (arah mendatar ke kanan) dan vektor perpindahan B sepanjang 30 m dengan arah +45o terhadap sumbu x positif.
Petunjuk :
Kita harus menetapkan skala panjang terlebih dahulu. Setelah itu, gambar vektor A dan B secara terpisah. Terakhir, gambar vektor resultan R=A+B dengan metode segitiga atau poligon, lalu kita menentukan besar dan arahnya
Panduan solusi :
Langkah 1, misalnya kita menetapkan skala panjang vektor perpindahan 5 m = 1 cm (catatan : anda dapat menetapkan skala sesuai dengan kemauan anda, penetapan skala di atas hanya sebagai contoh). Dengan demikian, besar perpindahan 20 m digambar dengan panjang vektor 4 cm (ingat, 20 : 5 = 4), dengan arah -30o terhadap sumbu x positif (gambar a).
Langkah 2, gambar vektor perpindahan B (besarnya 30 m) dengan panjang tanda panahnya 6 cm (ingat, skala yang kita tetapkan 5 m = 1 cm, jadi 30 m = 6 cm) dan arahnya sebesar 45o terhadap sumbu x positif. (gambar b). Lihat gambar di bawah.
Langkah 3, gambar vektor resultan R = A + B (gambar c)
Langkah 4, ukur panjang vektor R dengan mistar dan arah vektor R dengan bujur sangkar. Besar vektor R diperoleh dengan mengalikan panjang vektor R dengan skala panjang vektor
(Catatan : menentukan besar dan arah vektor Resultan dengan metode grafis merupakan salah satu pendekatan. Ketelitian hasil yang diperoleh juga sangat bergantung pada skala gambar, ketelitian mistar, busur derajat serta ketepatan anda dalam menggambar dan membaca skala. Jika anda ingin menentukan besar dan arah vektor Resultan secara lebih tepat, dapat digunakan perhitungan matematis (bukan dengan pengukuran), yakni menggunakan metode analitis)
MENENTUKAN VEKTOR RESULTAN DENGAN METODE ANALITIS
Dalam menentukan besar dan arah vektor Resultan dengan metode analitis, kita dapat menggunakan 2 cara yaitu menggunakan Rumus Cosinus dan menggunakan Vektor Komponen.
Menentukan Vektor Resultan segaris kerja (ingat kembali pelajaran SMP)
Di SMP kita telah belajar tentang vektor resultan untuk dua vektor gaya yang segaris kerja (searah atau berlawanan arah). Kali ini kita ulangi kembali, sebagai dasar sebelum menghitung vektor resultan dengan rumus Cosinus.
Kita meninjau vektor perpindahan yang segaris kerja. Misalnya kamu berpindah sejauh 200 m ke arah timur (vektor A), lalu berjalan kembali arah barat sejauh 300 m (vektor B).berapakah perpindahan total yang kamu lakukan dihitung dari kedudukan awalmu ?
Panduan Jawaban :
Untuk vektor2 yang segaris kerja, arahnya dapat dibedakan dengan memberi tanda + dan -. Jika kita tetapkan arah timur bertanda +, maka arah barat bertanda -. Berdasarkan ketetapan kita tadi, maka besar vektor A = +200 m dan besar vektor B = -300 m. dengan demikian besar vektor Resultannya adalah : R = A + B = (+200 m) + (-300 m) = 200 m – 300 m = -100 m (tanda – hanya menunjukan bahwa arah vektor Resultan ke barat atau sesuai dengan arah vektor B)
(pada gambar ditetapkan skala 50 m = 1 cm)
Melalui contoh di atas, diketahui bahwa operasi penjumlahan dalam berhitung berlaku untuk resultan dari dua vektor yang berlawanan arah. Demikian juga dua vektor yang searah.
Menentukan vektor Resultan Pada Segitiga Siku-siku
Apakah hitungan vektor tetap memenuhi hukum berhitung jika perpindahan berlaku untuk dua dimensi ? untuk menjawabnya, perhatikan contoh berikut ini.
Dari kedudukan awalmu, kamu berjalan ke timur sejauh 300 m (vektor A), lalu berbelok ke selatan sejauh 400 meter (vektor B). Apakah perpindahan totalmu 700 m ? atau 100 m ?
Panduan jawaban :
Terlebih dahulu kita tetapkan skala perpindahan, misalnya 100 m = 1 cm. dengan demikian, perpindahan ke timur sejauh 300 m digambar dengan panjang vektor 3 cm, sedangkan perpindahan ke selatan sejauh 400 m digambar 4 cm. lihat gambar di bawah
Untuk menentukan vektor resultan di atas, kita tidak bisa menggunakan hukum berhitung seperti pada dua atau lebih vektor yang segaris, karena dua vektor tersebut tidak segaris kerja. Vektor resultan dapat kita tentukan besarnya menggunakan rumus Pythagoras dalam segitiga siku-siku.
Jadi, besar vektor Resultan = 500 m
Menentukan arah vektor Resultan
Kita sudah mengetahui besar vektor Resultan. Bagaimana dengan arah vektor Resultan tersebut ? untuk menentukan arah vektor Resultan terhadap salah satu vektor komponennya, kita menggunakan rumus Sinus, Cosinus dan Tangen pada segitiga. Perhatikan gambar di bawah ini.
Karena diketahui besar vektor komponen A (300 m) dan besar vektor komponen B (400 m), maka dalam menentukan arah vektor Resultan, kita menggunakan Rumus Tangen.
Menentukan Vektor Resultan dengan Rumus Cosinus
Kita telah menghitung vektor resultan dari dua vektor yang segaris kerja dan dua vektor yang saling tegak lurus. Bagaimana-kah menghitung vektor resultan untuk dua vektor yang tidak segaris kerja dan tidak saling tegak lurus ? wah, mumet ah…. 
Kita bisa menghitung vektor resultan dari dua vektor yang berarah sembarang dengan menggunakan rumus cosinus, bukan rumus mas cosa 
Rumus Cosinus yang digunakan untuk menghitung resultan besar dua vektor yang arahnya sembarang adalah :
Dari mana asal rumus ini ? tiba-tiba nongol di sini ? silahkan bertanya kepada guru matematika anda. Yang pasti cara penurunan rumus ini dijelaskan pada pelajaran matematika SMA (kelas X deh kayanya) mengenai cosinus dan rumus sinus dalam suatu segitiga sembarang.
Agar penasaran atau kebingunganmu berkurang, mari kita pelajari hal ini tapi hanya secara umum.
Misalnya terdapat dua vektor, F1 dan F2 sebagaimana tampak pada gambar di bawah.
Jika besar vektor resultan dihitung dengan rumus cosinus, bagaimana dengan arahnya ? dihitung dengan rumus apakah ? rumus lagi… rumus lagi 
Kita menggunakan rumus sinus.
Perhatikan kembali gambar di atas. Arah vektor Resultan dapat dihitung menggunakan sinus pada segitiga OPQ.
Contoh soal :
Dua vektor F1 dan F2 memiliki pangkal berhimpit, di mana besar F1 = 4 N dan besar F2 = 3 N. jika sudut yang dibentuk kedua vektor adalah 60o, berapakah besar dan arah vektor resultan ?
Panduan Jawaban :
Besar vektor resultan kita hitung menggunakan persamaan di atas :
Bagaimana dengan arahnya ?
Arah vektor resultan =
Selesai. Gampang khan ? 
MENENTUKAN VEKTOR RESULTAN DENGAN VEKTOR KOMPONEN
Sekarang kita memasuki peradaban baru
teknik menentukan vektor resultan menggunakan vektor komponen selalu digunakan dalam pembelajaran fisika selanjutnya. Dalam pembahasan Gerak Parabola, kita juga akan menggunakan teknik ini. oleh karena itu GuruMuda mengharapkan agar anda dapat menyedot ilmu vektor komponen ini sampai puas, sehingga bekal perjalanan anda cukup dan tidak kelaparan atau pusing2 ketika belajar gerak parabola dan kawan-kawan.
Sekarang rileks dulu….. silahkan ngemil atau ngelamun atau apa aja-lah,,, terserah kamu.
Metode vektor komponen sangat gampang. Serius…. Oke, mulai ya…..
Oya, sebelumnya ijinkanlah gurumuda memperkenalkan kepada anda, apa itu vektor komponen. Tahukah dirimu apa itu vektor komponen ? jika tidak, mari belajar bersama GM (GuruMuda).
Dalam menggambarkan sesuatu, kita selalu menggunakan koordinat x dan y (untuk dua dimensi) atau koordinat xyz (untuk tiga dimensi). Nah, apabila sebuah vektor membentuk sudut terhadap sumbu x positif, pada bidang koordinat xy, maka kita bisa menguraikan vektor tersebut ke dalam komponen sumbu x atau komponen sumbu y. kedua vektor komponen tersebut biasanya saling tegak lurus. Untuk memudahkan pemahaman anda, kita gambarkan sebuah vektor pada bidang koordinat xy, sebagaimana tampak pada gambar di bawah.
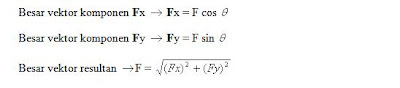
Vektor F yang membentuk sudut teta terhadap sumbu x positif, diuraikan menjadi komponen sumbu x, yaitu Fxdan dan komponen pada sumbu y, yakni Fy. Ini merupakan contoh vektor komponen.
Jika vektor F mempunyai nilai/besar, bagaimanakah dengan vektor komponennya, yakni Fx dan Fy ? bagaimana menghitung besar Fx dan Fy ?
Masih ingat-kah rumus cosinus dkk ? lupa…. 
Pahami terlebih dahulu rumus sinus, cosinus dan tangen di bawah ini… dipelototin aja kalo mau (pisss…..)
Bagaimana dengan arah F ? untuk menentukan arah vektor resultan, kita menggunakan rumus tangen. Kita menggunakan rumus tangen karena komponen Fx dan Fy diketahui.
Contoh soal 1 :
Tentukanlah komponen-komponen vektor gaya (F) yang besarnya 40 N dan membentuk sudut 60o terhadap sumbu x positif (lihat gambar)
Panduan jawaban :
Yang ditanyakan pada soal di atas adalah komponen vektor F pada sumbu x dan y (Fx dan Fy).
Contoh soal 2 :
Tentukan besar dan arah vektor perpindahan (L), di mana komponen sumbu x-nya = 40 m dan komponen sumbu y-nya = 30 m.
Panduan jawaban :
Sebelum menjawab pertanyaan di atas, terlebih dahulu digambarkan vektor L dan vektor komponennya pada sumbu x dan sumbu y.
Lx = 40 m
Ly = 30 m
Besar vektor perpindahan (L) adalah :
Vektor perpindahan L membentuk sudut 53o terhadap sumbu x positif (berada di kuadran I)

























No comments:
Post a Comment